Business Daily Africa
Thursday September 28, 2017
FORMER KENYA AIRWAYS FINANCE DIRECTOR ALEX MBUGUA (LEFT) AND EX-CEO MBUVI NGUNZE. PHOTOS | FILE | NMG
Former Kenya Airways KQ • 4.75 ▲ 3.26% finance director Alex Mbugua has written a protest letter to the airline’s chairman, Michael Joseph, detailing what he claims are the series of scandals that brought the company to its knees.
Mr Mbugua, in a letter dated August 28, 2017, accuses former Kenya Airways chief executive Mbuvi Ngunze of corruption and backstabbing while also roping in former chairman Dennis Awori in the decision to fire him from the top job.
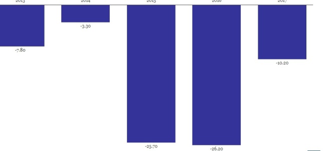
Mr Mbugua says heavy discounting of ticket prices with the backing of top executives alongside other fare abuses were to blame for KQ’s heavy revenue losses estimated at Sh50 billion.
“I believe that there are other parties at large who would want me locked up for good to ensure that the huge revenue losses are buried with me forever,” Mr Mbugua wrote in the letter.
In his letter, Mr Mbugua pleads with Mr Joseph to intervene, even as he promises to sue the airline if information supplied by the company is used against him in court.
KQ's net losses (Sh bn)
The firm is betting on debt, management and operational restructuring to return to profitability
Mr Mbugua declined to comment on the letter, saying he did not know how we had obtained it. The board chairman, however, confirmed having seen it.
“I have received (it) and it is with our legal advisors. No other comment,” said Mr Joseph.
The Director of Public Prosecution (DPP) and the Banking Fraud Investigations Unit (BFIU) have gone after Mr Mbugua whose court case, alleging wrongful dismissal, is set to be determined on October 5.
'Fall guy'
Mr Mbugua says he is being positioned as the fall guy despite not featuring in a forensic audit report by Deloitte which recommended further investigations of four managers – Jane Kiboi (treasury manager), Githinji Itegi (supervisor, treasury and controls), Elias Ngao (former funds supervisor) and Jackson Njiiri (acting funds supervisor).
Mr Ngunze allegedly signed for a $7 million bank guarantee with collapsed Dubai Bank without board approval, and with a fake signature of the former finance chief.
“Deloitte stated in their report that they had subjected my signature and that of former CEO Mbuvi Ngunze on the Dubai Bank opening letter and a bank guarantee letter of $7 million to handwriting experts,” reads part of the letter.
“On both instances, my signature was found to be forged, but that of Mbuvi was found to be genuine.”
Mr Mbugua says he recently learnt that Mr Mbuvi was involved in the Dubai Bank saga from 2014 when he was still chief operating officer, exchanging correspondence with the lender’s former CEO Binay Gupta (sic) who later fled the country.
Mr Ngunze also made several trips to Dubai with Ms Kiboi – who reported to Mr Mbugua — without the knowledge of the former finance chief.
“What is more curious is that these trips happened while Mbuvi was the COO and therefore had no business getting involved in treasury matters,” Mr Mbugua said.
Mr Ngunze also went against company policy when, through his personal assistant, he approved Ms Kiboi’s day-time stay at Nairobi’s Ole Sereni Hotel on July 18, 2014 at a cost Sh14,790 and which was charged to his expense account.
Mr Mbugua says that about a year after he was appointed CEO, Mr Ngunze was informed by a “whistleblower” of a suspicious forex transfer of five million rand from South Africa to Citibank’s Nairobi branch.
Mr Ngunze also ordered an internal audit to be conducted at the treasury department without Mr Mbugua’s knowledge, a move the former finance director says was an unsuccessful calculation to incriminate him.
Mr Ngunze and Mr Awori would, however, eventually hound him out of office. The duo demanded his immediate resignation in Mr Mbuvi’s office on January 11, 2016 but he refused to do so and was fired eight days later.
Mr Mbugua says Mr Ngunze has been coaching KQ staff on how to respond to enquiries by investigators, adding that the former CEO is not impartial.
Mr Mbugua’s letter lends credence to the view that mismanagement and/or corruption played a big role in KQ’s downward spiral.
The airline narrowed its net loss 61 per cent to Sh10.2 billion in the year ended March when its net worth sunk to a negative Sh44.9 billion.